Fig. 5
From: Coupling sparse Cox models with clustering of longitudinal transcriptomics data for trauma prognosis

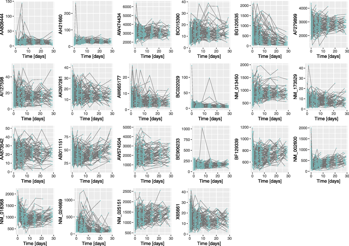
Gene expression trajectory of the 22 genes identified as relevant to predict patient discharge. Gene expression trajectory of 168 patients until the 28th day after injury. These 22 genes appear in all the models calculated with LOOCV for Day 0, Day 1, and Day 4 datasets